Are Steroids Lipids, The question “are steroids lipids” is common in biology and chemistry, especially among students and health enthusiasts. The simple answer is yes—steroids are a type of lipid, but they are quite different from other lipids like fats and oils. To fully understand this, we need to explore what lipids are and how steroids fit into this category.
What Are Lipids?
Lipids are a broad group of naturally occurring molecules that share one key feature: they are hydrophobic, meaning they do not dissolve in water. Lipids play essential roles in the body, including energy storage, cell structure, and signaling.
Common types of lipids include:
- Fats (triglycerides)
- Phospholipids
- Waxes
- Steroids
These compounds are grouped together because of their chemical properties rather than a single structural pattern.
Are Steroids Lipids?
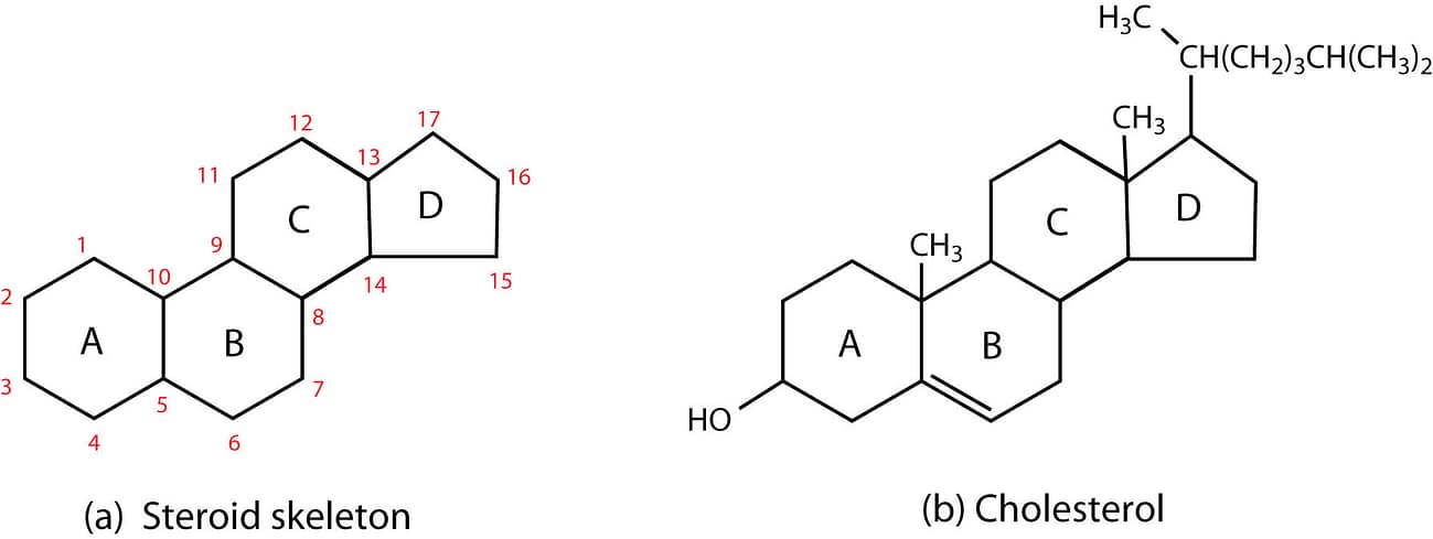
Yes, steroids are classified as lipids. Specifically, they fall under a subgroup of lipids known for their unique ring structure. Unlike fats, which are made of long chains of fatty acids, steroids have a distinct structure composed of four fused carbon rings.
This structural difference is what sets steroids apart, even though they still share lipid characteristics like:
- Being insoluble in water
- Soluble in organic solvents
- Derived from similar biological pathways
What Makes Steroids Unique?
Steroids are defined by their core structure called the steroid nucleus. This structure gives them specific biological functions that differ from other lipids.
Instead of storing energy like fats, steroids often act as:
- Hormones
- Signaling molecules
- Structural components of cell membranes
Examples of Steroid Lipids
Some well-known steroids include:
1. Cholesterol
Cholesterol is a vital component of animal cell membranes. It helps maintain membrane fluidity and stability.
2. Hormones
Steroid hormones regulate many bodily processes. Examples include:
- Testosterone
- Estrogen
- Cortisol
These hormones are derived from cholesterol and control metabolism, reproduction, and stress responses.
How Steroids Differ from Other Lipids
Although steroids are lipids, they differ significantly from fats and phospholipids:
| Feature | Steroids | Fats (Triglycerides) |
|---|---|---|
| Structure | Four fused rings | Long fatty acid chains |
| Function | Hormones, signaling | Energy storage |
| Solubility | Hydrophobic | Hydrophobic |
This distinction is important because it explains why steroids have specialized roles rather than serving as energy reserves.
Why Are Steroids Important?
Steroids are essential for life. They contribute to:
- Cell membrane integrity (via cholesterol)
- Hormonal balance
- Immune response regulation
- Metabolism control
Without steroid lipids, many biological processes would not function properly.
Conclusion
So, are steroids lipids? The answer is clearly yes. Steroids belong to the lipid family because of their hydrophobic nature and biological origin. However, their unique ring structure and specialized functions make them distinct from other types of lipids.
Understanding this relationship helps clarify many topics in biology, from cell structure to hormone function, making steroids an important and fascinating category within the lipid family.
You Might Also Like These:

